|
|
| DEET Treatise |
|
 |
I should be deeply indebted to DEET, a synthetic chemical that has made it easy for me to spend long hours in nature, quietly observing birds and other creatures, hearing their songs, learning their names and how to identify them by sight or sound. I have several spots that I visit repeatedly, accumulating familiarity, noticing changes from season to season, year to year, decade to decade. The most rewarding places are wet ones, crawling with chiggers and ticks, swarming with gnats and deer flies and mosquitoes enough to exsanguinate me were it not for DEET. I have learned to love the smell of that stuff. I subconsciously associate its stink with pleasant experiences. A hint of it on the skin of a pretty woman arouses me more than any perfume. The one pleasure that I imagine could exceed solitude in the wild would be the sharing of it with a lover of like mind, ultimately naked on a blanket, slathered with DEET.
Seriously, how did people cope with biting insects before the wonders of modern chemistry? Early explorers are seldom depicted in short sleeves and pants. They kept their bodies covered even in July, if not with clothes, then with mud plaster and bear grease, tricks that Michener said were used by Chesapeake natives. Smoke from cigars and pipe tobacco helped keep insects away from the face. Wood smoke was used to purge teepees. Botanical oils are mentioned in colonial literature and still investigated as possible sources of new repellents. The folk lore is rich with natural remedies but none as effective as DEET.
One June afternoon about ten years ago my wife and I escaped from a conference in Ocean City Maryland wanting to be alone in our bathing suits, hoping to see more than seagulls. The beach at O.C. was crowded even under the boardwalk so we motored over to Assateague Island where the parking lot was rather empty. We changed into our suits, grabbed our blanket and sun tan lotion and headed toward the beach, also empty except for a small flock of sanderlings. We soon realized why; the mosquitoes were thicker than humidity. They seemed to materialize out of the ether, condensing onto our bodies like fog on cold spectacles. We hurried down to the waters edge hoping in vain for a breeze that would keep them away, then raced back to our car and spent the next ten minutes swatting at the several dozen that had joined us inside. I vowed to keep forever thereafter a dispenser of DEET in the glove compartment.
When I was a youngster, before DEET, an older cousin told me that if you let a mosquito finish the job, the bite won’t itch because most of the stuff that causes the itching will be withdrawn along with the blood. I tried it several times and it didn't always work. Not that I minded a few mosquito bites; it felt good to run hot water on them. It also felt good to scratch them. I tried not to scratch directly on the bites because that made them fester and get infected. Rather, I scratched around the edges, endlessly.
More recently, while strolling in the Prime Hook National Wildlife Refuge near Slaughter Beach, Delaware, I spotted a pair of brown thrashers flipping last year's leaves around. I tried to sneak up close enough to see those yellow eyes that Pattiann Rogers mentioned in one of her poems. I often wonder if Pattiann had actually seen those yellow eyes first hand or merely in a bird book. In any case, after reading her poem I made it one of my life goals to see for myself. I sat down on my pack stool, hoping the birds might move in my direction. In stead came a multitude of gnats. I applied some DEET to the back of my hands and rubbed them on my forehead, nose, ears, neck and arms. It worked its magic as usual but my movement caused the thrashers to vanish. The next day my ankles were covered with chigger bites.
The problem with chiggers is that they are almost invisible; you can't see them coming. Actually, they don't come, they wait in the grass and ambush the DEET-free areas of your body, spitting out a few nanoliters of saliva filled with enzymes that turn skin cells to liquid which they suck up. The surrounding cells react by forming a hard tube, something like a gall, through which the chiggers continue to feed for several days. Once satiated, they disengage and launch the next stage of their life cycle. The sores continue to itch, taking more than a week to heal. Hot water is the only compensation and what a reward that is; running hot water on chigger bites is like having an orgasm in your leg.
What about ticks? To their credit they don't pester you in the field. They may get on you and crawl around your body but you hardly notice them until you get home. The tiny things tend to lodge in places that are difficult to see – on your scalp, under your arms and high up in the crotch. A rigorous inspection is prudent but, unless you are deep into yoga, almost impossible to find without the help of a friend. How embarrassing. There is nothing like a reciprocal tick-check to probe the bounds of intimacy.
The intelligent designer, in his sadist phase, also made deer flies although they seem to be a work in progress -- aggressive but not very agile and maybe a little stupid. They are easy to swat. If one lands on your head, just hesitate two seconds and then smack it. If you swat too early the fly will evade you but given a chance to anticipate the taste of your flesh it loses focus. If there aren't too many, swatting is sufficient and no DEET is required. An occasional bite may sting a little at first but the itching isn't very intense and the next day you won't remember where the bite was.
The problem with deer flies occurs when they gang up and follow you, attacking from all angles. If too many accumulate in your space it can be intolerable. I encountered a phalanx of them on a morning walk up the west side of Gordon's Pond in Cape Henlopen State Park a few Septembers ago. They encircled me in ever increasing numbers, landing on my head, arms and hands and even on my glasses, making it impossible to linger in any one spot long enough to study the dunlins, dowitchers, godwits, sandpipers and stilts that were feeding in the mud flats, not to mention the swallows and osprey overhead. I reached for DEET only to discover that my dispenser contained but a few drops. I started jogging ever faster up the trail with my binoculars banging against my chest. I had intended to hike the length of the pond, returning via the beach, but my plan was thwarted by a sign that read: Shore Bird Nesting Area – Beach Closed.
I was trapped. Lacking the courage to backtrack through deer fly city, I decided to try something I hadn't done since high school – thumb a ride. A sympathetic lady who had been visiting the Seaside Nature Center stopped and agreed to take me out to Highway 1. She was headed for her retirement townhouse in Lewes but after hearing my pathetic story she ended up driving me through heavy traffic all the way back to Rehoboth where I had parked my bicycle at the south end of the pond. She declined my offer to fill her tank but admonished me to make sure next time I was well-supplied with DEET!
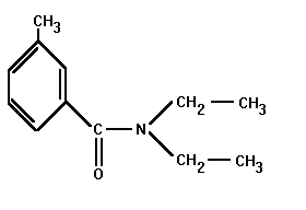
What is DEET and how does it work? This eminently pronounceable but insufficiently evocative abbreviation stands for N,N-diethyl-meta-toluamide, a synthetic chemical that inhibits blood-feeding insects. After five decades of wide spread use, it has developed a reputation for being safe and effective “when used according to instructions”. Of course it can be lethal if swallowed but who would do that? Well, a toddler might. Even if toddlers are exposed only through their skin, they are more likely than an adult to suffer such symptoms as vomiting, rashes, dizziness, headache, slurred speech, coughing, tremors, and worse. DEET is known to penetrate the skin and enter the blood. Given what we've learned about endocrine disruptors and the genetic likeness of all creatures, a growing youngster of any species ought to avoid contact with a molecule whose stereo-electronic structure bears “remarkable similarities” to natural insect juvenile hormone.
Dreadful insect-borne diseases such as malaria, dengue and yellow fevers, Lyme disease and West Nile virus have occasioned much research into the mechanism of DEET's action. The most likely scenario is that it interferes with an insect's ability to detect human emanations such as lactic acid from sweat or 1-octen-3-ol, a component of human breath which can be purchased by the canister for use in so-called mosquito magnets. DEET is a deodorant of sorts that functions on a different principle from the ones we use on ourselves; we saturate our primitive noses with something more pleasant to mask the less pleasant. Modern genetic methods have identified over a hundred putative olfactory receptors in the antennae of mosquitoes. A subset of these utilizes a common coreceptor whose function was recently shown in the lab to be inhibited by DEET. Molecular entomologists are busy developing efficient ways to screen hundreds of compounds that might block additional receptors. The goal is safer and more effective repellents that are less obnoxious to humans and broader in the scope of their effectiveness. There is a huge diversity of insect species and much variation in their tolerance for any given molecule. A broad spectrum repellent may require a cocktail of chemicals, which increases the potential for adverse synergistic effects. For example, one factor in the mysterious neurological illnesses prevalent among troops that participated in the first invasion of Iraq may have been the combined exposure to DEET and pyridostigmine bromide, an experimental chemical that was given orally to protect against nerve gas. With so many synthetics already present in our environment it becomes almost impossible to identify the culprits. Sometimes it takes a long time for effects to show up. It took until 2007 to discover that women who were exposed as young girls to high levels of DDT (dichlorodiphenyltrichloromethane) during the middle of the last century had five times the risk of developing breast cancer. On the other hand, DDT saved millions of lives in tropical countries through control of the mosquito that transmits malaria.
When it comes to evaluating the safety of insecticides and repellents, most of the concern has been for humans. Less attention is paid to the long-term effects on other organisms in the biosphere. Low concentrations of DEET have been detected in most rivers and streams in the USA, in the North Sea and in many samples of drinking water around the world, showing that it persists in the environment. The world has become like a huge petri dish to which thousands of chemicals have been added in a grotesque experiment to see what happens -- who gets mutated, who survives.
As an avid swamp watcher I often ponder the irony of saturating my skin and clothes with a chemical that renders me repellent, if not toxic, to the food sources of the very critters I hope to see up close in abundance – amphibians, reptiles and especially birds. A robust avian population is a high sign of good health and a joy to watch. It's sad to see them in decline and to think of them being deliberately poisoned makes me furious enough to…well, whenever I point my finger it inevitably curls back on itself and the guilt sets in. After researching for this essay I vowed to think twice before using DEET, rely more on clothing and netting, take my chances, sustain a few bites and enjoy the hot water thing. I understand how trivial that sounds in the context of what's happening in the global petri dish. It's obviously not the only change I need to make. I need to get out from under the global coverage and think local, act local, shop and eat local at places to which I can walk or ride a bike, get rid of my car and stay home for a while, spend more time with neighbors and less with old friends around the beltway. I need to capture the runoff from my roof and turn my backyard into a rainscape habitat for mosquitoes.
This essay was published in the fall/winter 2009 issue of
Isotope: a journal of literary nature and science writing.
|
|